Professional Practice
Akron SOP
Standard Operating Procedure for Akron Pharmacy
Home
Compounding
Compounding Training and Skills Assessment
Compounding Policy and Procedure Manual
Equipment Calibration
Risk Assessment
Safety Data Sheet
Master Formulation Record
Akron Pharmacy Compounding Quality Assurance Program
COVID-19
Prescribing Anti-Virals
Miscellaneous
ODB Diabetic Strip Limits – Override Codes
Turn Off Auto Log Feature on Bayer Contour Next Meter
Patient Pay Assist Cards
Processing Payer Assist Cards
Diabetic Machine Reimbursement
Calea Items
Frequent Dispensing Form
Lexmark M810n Printer Margin Adjustment
Narcotic Medications
Adverse and Narc Loss Reporting
Chronic Non-Cancer Pain Assessment and Monitoring
NMS Errors
Suboxone Dispensing
For Office Use / Store to Store Transfer
Fentanyl Patch
Narcotic Destruction
Naloxone
Narcotic Reconciliation
Professional Practice
Community Pharmacist Practice Assessment Criteria
Emergency Procedure for Break in Cold Chain
Medscheck and Pharmaceutical Opinion Program
Minor Ailments
OCP’s Minor Ailment Algorithm
Patient Assessment and Documentation
Error/Close Miss Reporting
Hospital Discharge Procedure
Putting Prescriptions Through Nexxsys
General Prescription Pricing Information
3rd Party Adjudication Page
Entering 3rd Party Plans
Payment Assistant Cards
Balance Owing Procedure
Holds
Scanning Prescriptions
Inventory
Managing Return to Stock Medications
Printing Price Stickers
Propel: Reconcile
Handling Oral Anti-Cancer Medications (OACD)
Ordering Rx Stock with Nexxsys
Quality of Life Services
Reconcile Order
Ordering from McKesson Using Nexxsys
Ordering Non-Rx Stock
Ordering Supplies
Orders from Calea
Home Care Supplies
Pack Ordering Error
Duties
Cashier Duties
Infection Control: Cleaning
Blister Packs and Dosettes
Voicemail
Cycle Count
Ordering Supplies
3rd Party Plan Information
Assure/Sunlife/Telus
Assure Compound
Pseudo DINs
Assure Vacation Supply
Assure Carrier ID
Carrier IDs
ESI/Eclips
ESI Compound and Pseudo PINs
ESI Provincial intergration Program
ESI – Empire Life Step Therapy Program
ESI – Manulife Step Therapy Program
Manulife
Green Shield
Green Shield Compunds
Green Shield Drug Authorization
Green Shield Maintenance Medication Fill Limit
ODB/Trillium
Social Assist Verification (SAV)
Understanding ODB/Trillium
OHIP+
Vacation Supply
Nutritional Products
Epi Pen/Epi Pen JR
Biosimilar
ODB Manual Reversal
ODB Billing of Pre-Registered Newborns
Billing Out of Province Physicians
ODB Coverage for Aerochamber
Misc
Post Secondary School Plans
Claim Secure
IFH
NIHB (Non-insured Health Benefits) i.e Indian Affairs
Johnson
Override Codes
Quick Info
Drug Information
Vaccination
Flu Vaccine
Authorized Vaccines for Pharmacist Administration
Home
›
3rd Party Plan Information
›
ESI/Eclips
›
ESI Provincial intergration Program
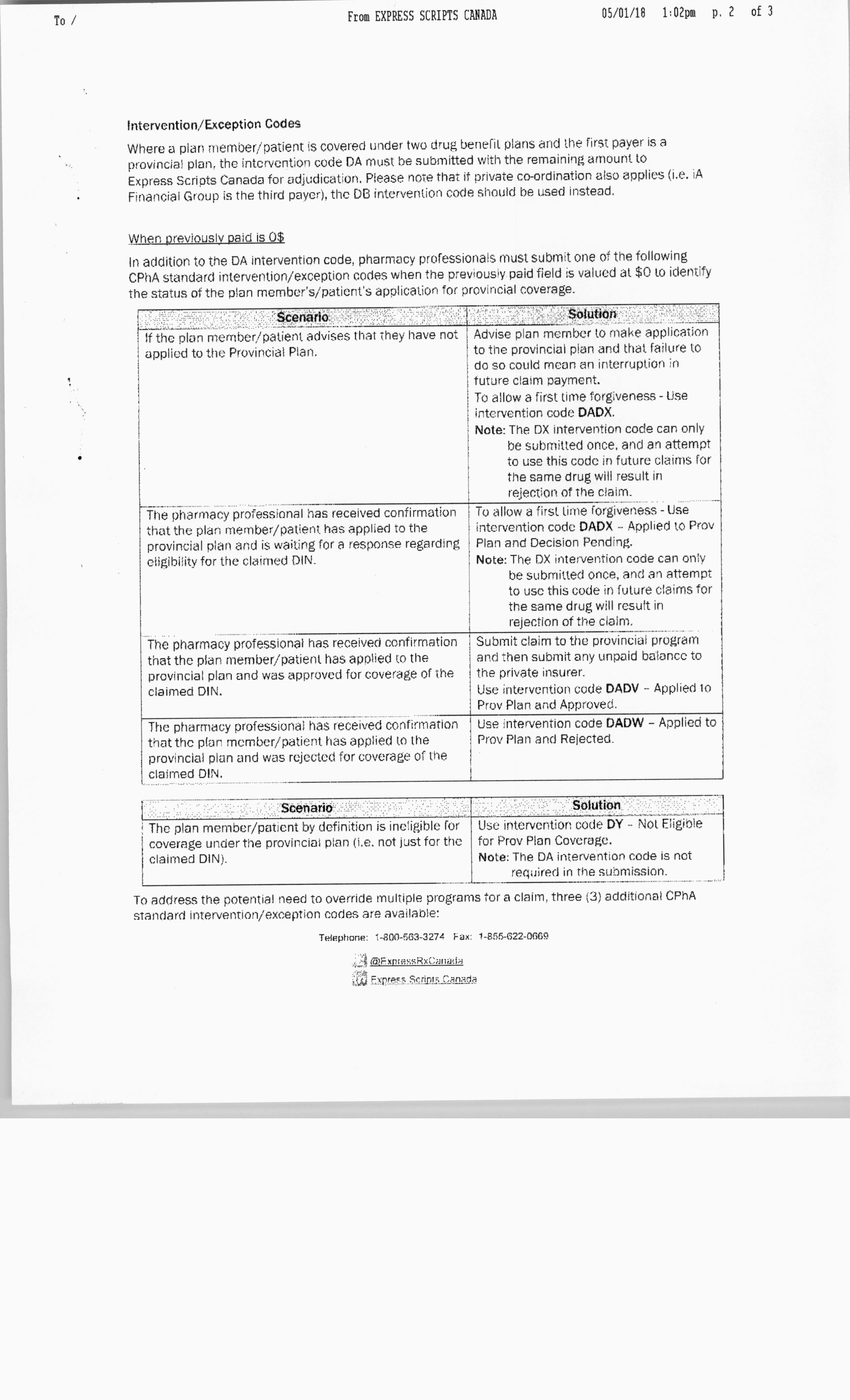
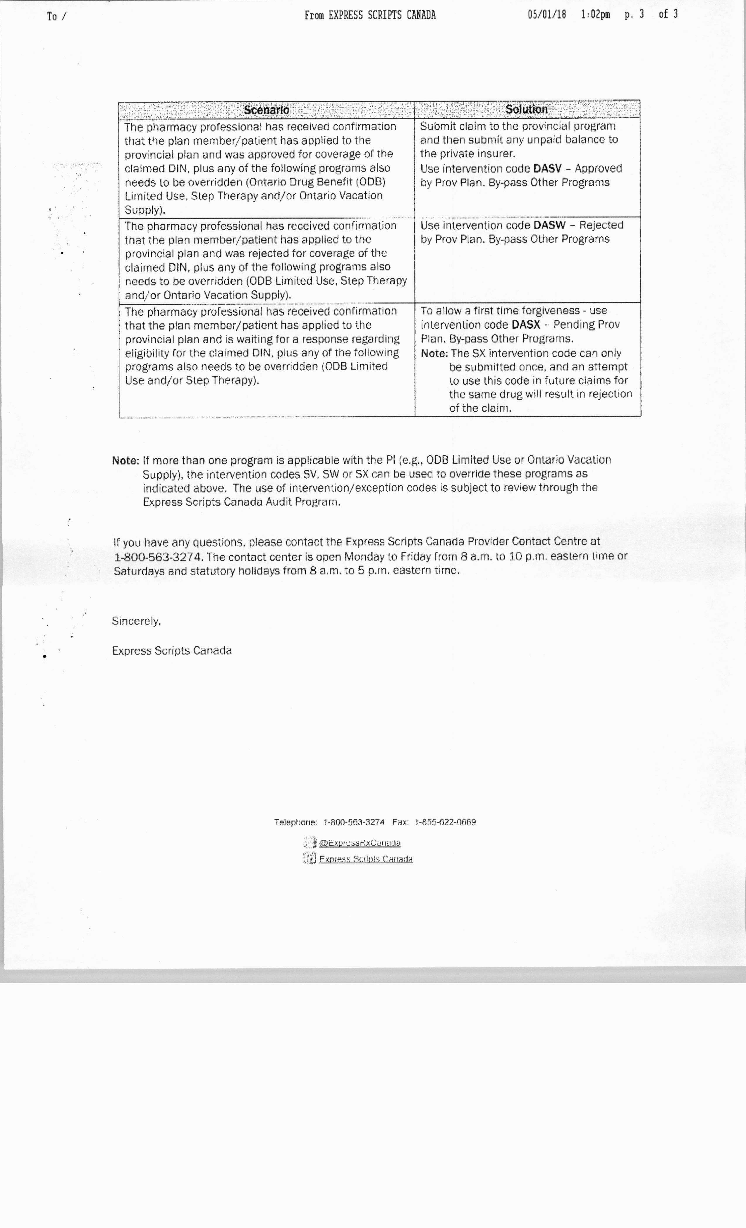
ESI Provincial intergration Program
Pages
3rd Party Plan Information
Assure/Sunlife/Telus
Assure Carrier ID
Assure Compound
Assure Vacation Supply
Carrier IDs
Pseudo DINs
Claim Secure
ESI/Eclips
ESI – Empire Life Step Therapy Program
ESI – Manulife Step Therapy Program
ESI Compound and Pseudo PINs
ESI Provincial intergration Program
Manulife
Green Shield
Green Shield Compunds
Green Shield Drug Authorization
Green Shield Maintenance Medication Fill Limit
IFH
Johnson
Override Codes
Misc
Post Secondary School Plans
NIHB (Non-insured Health Benefits) i.e Indian Affairs
ODB/Trillium
Billing Out of Province Physicians
Biosimilar
Epi Pen/Epi Pen JR
Nutritional Products
ODB Billing of Pre-Registered Newborns
ODB Coverage for Aerochamber
ODB Manual Reversal
OHIP+
Social Assist Verification (SAV)
Understanding ODB/Trillium
Vacation Supply
Compounding
Akron Pharmacy Compounding Quality Assurance Program
Compounding Training and Skills Assessment
Compounding Policy and Procedure Manual
Equipment Calibration
Master Formulation Record
Risk Assessment
Safety Data Sheet
COVID-19
Prescribing Anti-Virals
Drug Information
Authorized Vaccines for Pharmacist Administration
Flu Vaccine
Vaccination
Duties
Blister Packs and Dosettes
Cashier Duties
Cycle Count
Infection Control: Cleaning
Ordering Supplies
Voicemail
Inventory
Handling Oral Anti-Cancer Medications (OACD)
Home Care Supplies
Managing Return to Stock Medications
Ordering from McKesson Using Nexxsys
Ordering Non-Rx Stock
Ordering Rx Stock with Nexxsys
Ordering Supplies
Orders from Calea
Pack Ordering Error
Printing Price Stickers
Propel: Reconcile
Quality of Life Services
Reconcile Order
Miscellaneous
Calea Items
Diabetic Machine Reimbursement
Frequent Dispensing Form
Lexmark M810n Printer Margin Adjustment
ODB Diabetic Strip Limits – Override Codes
Patient Pay Assist Cards
Processing Payer Assist Cards
Turn Off Auto Log Feature on Bayer Contour Next Meter
Narcotic Medications
Adverse and Narc Loss Reporting
Chronic Non-Cancer Pain Assessment and Monitoring
Fentanyl Patch
For Office Use / Store to Store Transfer
Naloxone
Narcotic Destruction
Narcotic Reconciliation
NMS Errors
Suboxone Dispensing
Professional Practice
Community Pharmacist Practice Assessment Criteria
Emergency Procedure for Break in Cold Chain
Error/Close Miss Reporting
Hospital Discharge Procedure
Medscheck and Pharmaceutical Opinion Program
Minor Ailments
OCP’s Minor Ailment Algorithm
Patient Assessment and Documentation
Putting Prescriptions Through Nexxsys
3rd Party Adjudication Page
Balance Owing Procedure
Entering 3rd Party Plans
General Prescription Pricing Information
Holds
Payment Assistant Cards
Scanning Prescriptions
Quick Info